2014年上海市房地产开发投资增速较上年明显回落,且投资增长更多依赖土地购置费的快速增长。受此影响,上海市房屋施工面积仅个位数增长。2014年,本市房屋施...

作者: tihaiku 人气: - 评论: 0
问题 2014年上海市房地产开发投资增速较上年明显回落,且投资增长更多依赖土地购置费的快速增长。受此影响,上海市房屋施工面积仅个位数增长。2014年,本市房屋施工面积14690.18万平方米,比上年增长8.7%。其中,住宅8525.85万平方米,增长4.9%。2014年,上海市房屋新开工面积2782.02万平方米,比上年增长2.8%。其中,住宅1547.29万平方米,下降5.8%;非住宅1234.73万平方米,增长16.2%。10月起,全市房屋新开工面积扭转了长达31个月同比下降的走势。同时,全市房屋竣工面积自11月起也出现了同比增长。2014年,上海市房屋竣工面积2313.29万平方米,比上年增长2.6%。其中,住宅1535.55万平方米,增长8.3%。 2014年上海市房屋新开工及竣工情况 指标 新开工 竣工 面积(万平方米) 增速(%) 面积(万平方米) 增速(%) 全部房屋 2782.02 2.8 2313.29 2.6 #住宅 1547.29 -5.8 1535.55 8.3 办公楼 365.25 38.3 165.03 -6.2 商业营业用房 388.03 41.1 208.36 -17.8 2014年上海市非住宅新开工面积同比增长约( )。
选项 A.92万平方米 B.115万平方米 C.149万平方米 D.172万平方米
答案 D
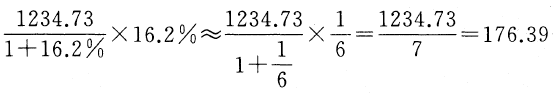
解析 本题考查的是增长量计算。2014年上海市非住宅新开工面积同比增长量为(万平方米)。故本题正确答案为D。

相关内容:2014年,上海市,房地产,开发,投资,增速,增长,更多,土地,购置费,受此,影响,房屋,施工,面积,仅个,位数

猜你喜欢

发表评论
更多 网友评论0 条评论)
暂无评论

访问排行

Copyright © 2012-2014 恰考网 Inc. 保留所有权利。 Powered by tikuer.com

页面耗时0.0451秒, 内存占用1.05 MB, Cache:redis,访问数据库19次