面积为W的等边三角形地块要向外扩展为正方形地块,则该正方形地块的最小面积为()。

作者: tihaiku 人气: - 评论: 0
问题 面积为W的等边三角形地块要向外扩展为正方形地块,则该正方形地块的最小面积为()。
选项
答案 A
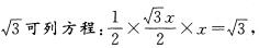
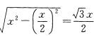
解析 等边三角形地块内的最长线段即为该等边三角形地块的边,因此最小的正方形地块的边长即为该等边三角形地块的边长。设该等边三角形地块的边长为x,则其高为,由该等边三角形地块的面积为,解得 x=2。因此正方形地块的最小面积为4。故本题选A。

相关内容:面积,等边三角形,地块,正方形

猜你喜欢

发表评论
更多 网友评论0 条评论)
暂无评论

访问排行

Copyright © 2012-2014 恰考网 Inc. 保留所有权利。 Powered by tikuer.com

页面耗时0.0306秒, 内存占用1.04 MB, Cache:redis,访问数据库17次