小王去超市购物,买了A、B、C三种商品各若干件,共花费100元,其中A、B、C三种商品的单价分别是12元、8元、5元,则C商品买了( )件。A.2 B....

作者: tihaiku 人气: - 评论: 0
问题 小王去超市购物,买了A、B、C三种商品各若干件,共花费100元,其中A、B、C三种商品的单价分别是12元、8元、5元,则C商品买了( )件。
选项 A.2 B.6 C.8 D.6或8
答案 C
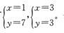
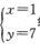
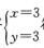
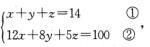
解析 设A、B、C三种商品各买了x、y、z件。由题意可得②-①×5,得7x+3y=30,满足该式的正整数解有。分别代入①②得符合题意,得z=8,而经检验不符合题意,舍去。本题选C。

相关内容:小王,超市,购物,商品,花费,100元,单价

猜你喜欢

发表评论
更多 网友评论0 条评论)
暂无评论

访问排行

Copyright © 2012-2014 恰考网 Inc. 保留所有权利。 Powered by tikuer.com

页面耗时0.0420秒, 内存占用1.05 MB, Cache:redis,访问数据库20次