寒冬来临之际,小芸花5000元买进200个充电暖宝宝,以40元单价卖出40%后,为了赶快脱手这批货,打算降价促销,问至多打几折能够保证小芸有2000元的盈...

作者: tihaiku 人气: - 评论: 0
问题 寒冬来临之际,小芸花5000元买进200个充电暖宝宝,以40元单价卖出40%后,为了赶快脱手这批货,打算降价促销,问至多打几折能够保证小芸有2000元的盈利?()
选项 A.七折 B.七五折 C.八折 D.八五折
答案 C
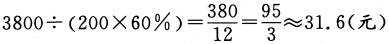
解析 要保证2000元的盈利,则总销售额不能低于7000元。卖掉的40%,收入为40×40%×200=3200(元),则剩下的60%的充电暖宝宝的销售额不能少于3800元,所以,每个充电暖宝宝售价不少于。当打八折时,售价为 32元,满足要求;当打七五折时,售价为30元,不能满足要求,C项正确。注意虽然八五折时盈利更多,但题目问的是至多,所以答案为C。

相关内容:寒冬,小芸,5000元,200个,宝宝,单价,打算,降价,促销,至多,几折,2000元

猜你喜欢

发表评论
更多 网友评论0 条评论)
暂无评论

访问排行

Copyright © 2012-2014 恰考网 Inc. 保留所有权利。 Powered by tikuer.com

页面耗时0.0310秒, 内存占用1.05 MB, Cache:redis,访问数据库19次