为了帮学生们备战中考,某个星期的星期一,王老师开始给学生编500道中考数学练习题,因为编题耗费脑力较多,第一天能编50道,之后每天少编2道,星期六和星期日...

作者: tihaiku 人气: - 评论: 0
问题 为了帮学生们备战中考,某个星期的星期一,王老师开始给学生编500道中考数学练习题,因为编题耗费脑力较多,第一天能编50道,之后每天少编2道,星期六和星期日休息暂停编题,那么,王老师至少要多少天后才成完成这项任务?()
选项 A.10 B.14 C.16 D.18
答案 D
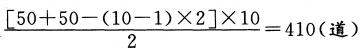
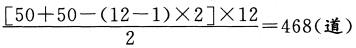
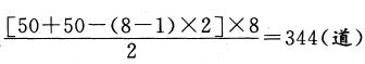
解析 本题考查的是等差数列和方程求解,但因数字不是很复杂,代入计算更便捷。若10天后完成,实际工作了8天,编题,排除A。若14天后完成,实际工作了10天,编题,排除B。若16天后完成,实际工作了12天,编题,排除C项。答案为D。可进行验证,若18天后完成,实际工作了14天,编题(道),

相关内容:学生,中考,星期,王老师,数学,练习题,编题,脑力,能编,少编,六和

猜你喜欢

发表评论
更多 网友评论0 条评论)
暂无评论

访问排行

Copyright © 2012-2014 恰考网 Inc. 保留所有权利。 Powered by tikuer.com

页面耗时0.0481秒, 内存占用1.05 MB, Cache:redis,访问数据库20次