末三年级二班20人去公园植树,共植树230棵,已知这20人中植树最少的同学种了1棵,植树最多的同学种了30棵,且每个同学种的棵数都不一样,按植树多少排名,...

作者: tihaiku 人气: - 评论: 0
问题 末三年级二班20人去公园植树,共植树230棵,已知这20人中植树最少的同学种了1棵,植树最多的同学种了30棵,且每个同学种的棵数都不一样,按植树多少排名,排名第十的同学最多植树多少棵?()
选项 A.13 B.12 C.11 D.10
答案 B
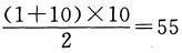
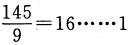
解析 要使排名第十的同学植树越多,则排名前十的同学植树棵数要尽可能接近,排名后10的同学植树数量要尽量少,由题意可知,后十名同学最少植树(棵)。又知排名第1的同学植树为30棵,所以排名第2至第10名同学共植树230-55-30=145(棵)。要排名第10的同学植树尽可能多,则这9名同学植树棵数是公差为(-1)的等差数列。因为,这9名同学中处于中间位置的第6名植树为16,其中所余的那一棵可以分配给第2名或第11名同学。则第10名植树16-4=12(棵)。答案为B。

相关内容:三年级,二班,公园,植树,230棵,人中,同学,棵数

猜你喜欢

发表评论
更多 网友评论0 条评论)
暂无评论

访问排行

Copyright © 2012-2014 恰考网 Inc. 保留所有权利。 Powered by tikuer.com

页面耗时0.0357秒, 内存占用1.05 MB, Cache:redis,访问数据库20次