某盐溶液的浓度为20%,加入水后,溶液的浓度变为15%。如果再加入同样多的水,则溶液的浓度变为( )。A. 13% B. 12.5% C. 12% ...

作者: tihaiku 人气: - 评论: 0
问题 某盐溶液的浓度为20%,加入水后,溶液的浓度变为15%。如果再加入同样多的水,则溶液的浓度变为( )。
选项 A. 13% B. 12.5% C. 12% D. 10%
答案 C
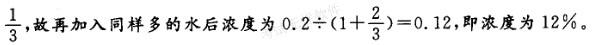
解析 抽象比例问题。设原有溶液1,加入的水为x,则有0. 2/(1+x)=0. 15,解得x =

相关内容:某盐,溶液,浓度

猜你喜欢

发表评论
更多 网友评论0 条评论)
暂无评论

访问排行

Copyright © 2012-2014 恰考网 Inc. 保留所有权利。 Powered by tikuer.com

页面耗时0.0602秒, 内存占用1.05 MB, Cache:redis,访问数据库20次