超市将99个苹果装进两种包装盒,大包装盒每个装12个苹果,小包装盒每个装5个苹 果,共用了十多个盒子刚好装完。问两种包装盒相差多少个?( )A. 3 B...

作者: tihaiku 人气: - 评论: 0
问题 超市将99个苹果装进两种包装盒,大包装盒每个装12个苹果,小包装盒每个装5个苹 果,共用了十多个盒子刚好装完。问两种包装盒相差多少个?( )
选项 A. 3 B. 4 C. 7 D. 13
答案 D
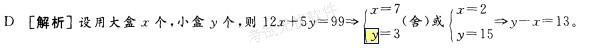
解析

相关内容:超市,苹果,装进,包装盒,5个苹,盒子,装完

猜你喜欢

发表评论
更多 网友评论0 条评论)
暂无评论

访问排行

Copyright © 2012-2014 恰考网 Inc. 保留所有权利。 Powered by tikuer.com

页面耗时0.0489秒, 内存占用1.03 MB, Cache:redis,访问数据库17次