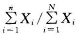
行业集中度指标是最常用、最简单易行的市场绝对集中度的衡量指标,其计算公式为:CRn=,式中N表示()。A:产业内第N位的企业 B:N个企业的市场份额 ...

作者: tihaiku 人气: - 评论: 0
问题 行业集中度指标是最常用、最简单易行的市场绝对集中度的衡量指标,其计算公式为:CRn=,式中N表示()。
选项 A:产业内第N位的企业 B:N个企业的市场份额 C:产业内的企业总数 D:前N位企业的市场份额
答案 C
解析 本题考查的是行业集中度的计算公式,CRn表示产业中规模最大的前几位企业的行业集中度;Xi表示第i位企业的产值、产量、销售额、销售量、职工人数或资产总额;N表示产业内的企业总数。

相关内容:行业,集中度,指标,常用,易行的,市场,公式,式中,业内,企业,份额

猜你喜欢

发表评论
更多 网友评论0 条评论)
暂无评论

访问排行

Copyright © 2012-2014 恰考网 Inc. 保留所有权利。 Powered by tikuer.com

页面耗时0.0592秒, 内存占用1.04 MB, Cache:redis,访问数据库18次