共用题干 某地区一电信业务市场中共有6家运营商,2013年,按照用户数量计算的市场份额排名如下: 设:X表示产业市场的总规模;Xi表示该业务市场第i位...

作者: tihaiku 人气: - 评论: 0
问题 共用题干 某地区一电信业务市场中共有6家运营商,2013年,按照用户数量计算的市场份额排名如下:

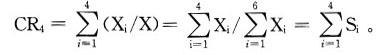
设:X表示产业市场的总规模;Xi表示该业务市场第i位企业的规模;Si表示该业务市场第i为企业的市场占有率。
选项 根据上述数据,计算出CR的结果是()。 A:92% B:88% C:20% D:40%
答案 B
解析 本题考查市场集中度。因为C1+C2+C3+C4+C5+C6=1,因此CR4=


本题考查市场集中度。CR4=30%+28%+16%+14%=88%。


本题考查HHI指数。

相关内容:题干,地区,电信业务,市场,共有,运营商,2013年,用户,数量,份额,如下,产业,业务

猜你喜欢

发表评论
更多 网友评论0 条评论)
暂无评论

访问排行

Copyright © 2012-2014 恰考网 Inc. 保留所有权利。 Powered by tikuer.com

页面耗时0.0489秒, 内存占用1.05 MB, Cache:redis,访问数据库19次