在对项目中某一活动进行工期估计时,采用了三个时间估计,乐观时间是8天,悲观时间是15天,最可能时间为12天,则该活动的期望工期为()天。A. 11.2 ...

作者: tihaiku 人气: - 评论: 0
问题 在对项目中某一活动进行工期估计时,采用了三个时间估计,乐观时间是8天,悲观时间是15天,最可能时间为12天,则该活动的期望工期为()天。
选项 A. 11.2 B.11.5 C. 11.8 D.12.2
答案 C
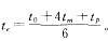
解析 本题考查的是常用的项目管理方法中活动工期估计问题。对于每一项活动可以给出三个估计时间,即乐观时间t0、最可能时间tm和悲观时间tp假定三个估计服从β概率分布,那么期望工期根据题中已知条件,代入此公式,即可求得该活动的期望工期约为11.8天。

相关内容:活动,工期,采用了,三个,时间,可能,期望

猜你喜欢

发表评论
更多 网友评论0 条评论)
暂无评论

访问排行

Copyright © 2012-2014 恰考网 Inc. 保留所有权利。 Powered by tikuer.com

页面耗时0.0411秒, 内存占用1.05 MB, Cache:redis,访问数据库19次