(五) 假定某电信企业在现有网络设施基础上,提供三项业务,分别为Y1、Y2、Y3,为进行成本收益分析,需要估算每一种业务的单位成本。收集到的数据如下表。...

作者: tihaiku 人气: - 评论: 0
问题 (五) 假定某电信企业在现有网络设施基础上,提供三项业务,分别为Y1、Y2、Y3,为进行成本收益分析,需要估算每一种业务的单位成本。收集到的数据如下表。 如采用归属成本法分摊公共成本,三种业务的分摊系数分别是(  )。 A.0.4;0.3;0.3 B.0.5;0.4;0.1 C.0.5;0.3;0.2 D.0.6;0.3;0.1
选项
答案 D
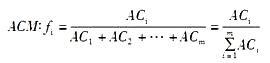
解析 归属成本法分摊公共成本即共同成本在不同业务之间的分摊基于该业务的可直接计入成本(即专属成本)在企业总的可直接计入成本中所占的份额或比例。其计算公式为: 式中,ACi表示业务i的可直接计入成本。则三种业务的分摊系数分别为: f1=3.8÷(3.8+1.9+0.6)=0.6; f2=1.9÷(3.8+1.9+0.6)=0.3; f3=0.6÷(3.8+1.9+0.6)=0.1。

相关内容:假定,电信企业,现有,网络,设施,业务,成本,收益,分析,需要,估算,单位,数据

猜你喜欢

发表评论
更多 网友评论0 条评论)
暂无评论

访问排行

Copyright © 2012-2014 恰考网 Inc. 保留所有权利。 Powered by tikuer.com

页面耗时0.0399秒, 内存占用1.05 MB, Cache:redis,访问数据库20次