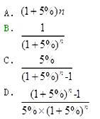
在考虑资金时间价值时,需将某投资项目几年后的残值转换为期初投资时的现值,那么,在折现率为5%时,贴现系数应为(  )。

作者: tihaiku 人气: - 评论: 0
问题 在考虑资金时间价值时,需将某投资项目几年后的残值转换为期初投资时的现值,那么,在折现率为5%时,贴现系数应为(  )。
选项
答案 B
解析

相关内容:资金,时间,价值,投资项目,投资,现值,折现率,贴现,系数

猜你喜欢

发表评论
更多 网友评论0 条评论)
暂无评论

访问排行

Copyright © 2012-2014 恰考网 Inc. 保留所有权利。 Powered by tikuer.com

页面耗时0.0794秒, 内存占用1.03 MB, Cache:redis,访问数据库15次