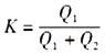
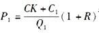
(四) 某通信企业推出一种新业务,为给这项业务定价,该企业测算或预计并获得了以下数据: (1)为提供这项业务,该通信企业每年新增加成本支出为C1; ...

作者: tihaiku 人气: - 评论: 0
问题 (四) 某通信企业推出一种新业务,为给这项业务定价,该企业测算或预计并获得了以下数据: (1)为提供这项业务,该通信企业每年新增加成本支出为C1; (2)预计未来1年该业务需求量为Q1,企业提供的其他业务量为Q2; (3)该通信企业提供所有业务的共同成本为C; (4)该企业近年来的平均利润率为R; (5)竞争对手也在最近推出了一项类似的业务,并且定价为P2。 如果这项业务的最后定价为,其中,,则该企业采取的定价法有(  )。 A.成本导向定价法 B.竞争导向定价法 C.成本加成定价法 D.边际贡献定价法
选项
答案 AC
解析 成本加成定价法是指以产品的单位成本加上固定百分比的利润来确定产品价格的方法。由题中最后定价的表达式可知,该项业务的定价方式为成本加成定价法,其属于成本导向定价法。

相关内容:通信企业,新业务,业务,定价,企业,获得了,数据,新增加,成本,支出

猜你喜欢

发表评论
更多 网友评论0 条评论)
暂无评论

访问排行

Copyright © 2012-2014 恰考网 Inc. 保留所有权利。 Powered by tikuer.com

页面耗时0.0439秒, 内存占用1.04 MB, Cache:redis,访问数据库18次