(一) 某国对移动通信市场实施放宽准入政策,几年后,共有5家移动运营商进入市场,2012年,按照移动业务收入计算的市场份额排名如表1所示,设。 2...

作者: tihaiku 人气: - 评论: 0
问题 (一) 某国对移动通信市场实施放宽准入政策,几年后,共有5家移动运营商进入市场,2012年,按照移动业务收入计算的市场份额排名如表1所示,设 2012年,企业C2收购了企业C4,其他企业市场份额基本不变,则2012年该国移动通信市场的集中度(  )。 A.提高了 B.降低了 C.不变 D.无法预测
选项
答案 A
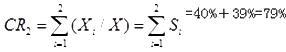
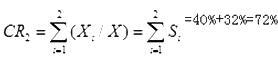
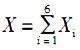
解析 2012年,企业C2收购了企业C4,收购后按照移动业务收入计算的市场份额排名如表2所示。 C2未收购企业C4时,;收购后, 。这表明行业集中度数值变大。行业集中度数值越大,说明市场集中程度越高,垄断力量越强,竞争程度越弱。

相关内容:移动通信,市场,准入,政策,共有,移动,运营商,2012年,业务,收入,份额,1所示

猜你喜欢

发表评论
更多 网友评论0 条评论)
暂无评论

访问排行

Copyright © 2012-2014 恰考网 Inc. 保留所有权利。 Powered by tikuer.com

页面耗时0.0567秒, 内存占用1.04 MB, Cache:redis,访问数据库19次