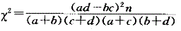
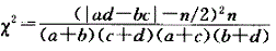
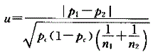
A.B.C.D.E.A和B均可当两样本含量均较大,p和1-p均不太小,np和n(1-p)均大于5,欲比较两率的差别可用

作者: rantiku 人气: - 评论: 0
问题 A. B. C. D. E.A和B均可 当两样本含量均较大,p和1-p均不太小,np和n(1-p)均大于5,欲比较两率的差别可用
选项
答案 E
解析

猜你喜欢

发表评论
更多 网友评论0 条评论)
暂无评论

访问排行

Copyright © 2012-2014 恰考网 Inc. 保留所有权利。 Powered by tikuer.com

页面耗时0.0284秒, 内存占用1.03 MB, Cache:redis,访问数据库17次