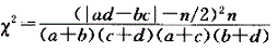
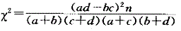
A.B.C.D.E.A和B均可四格表资料中,当n>40且有1≤T

作者: rantiku 人气: - 评论: 0
问题 A. B. C. D. E.A和B均可 四格表资料中,当n>40且有1≤T<5时,计算χ值应用
选项
答案 C
解析

猜你喜欢

发表评论
更多 网友评论0 条评论)
暂无评论

访问排行

Copyright © 2012-2014 恰考网 Inc. 保留所有权利。 Powered by tikuer.com

页面耗时0.0440秒, 内存占用1.03 MB, Cache:redis,访问数据库19次