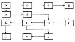
画出沉箱重力式码头下列主要施工工序的流程框图。A沉箱预制;B.沉箱出运;C.基槽挖泥;D.施工准备工作;E.基床夯实;F.基床抛石;G.基床整平;H.沉箱...

作者: rantiku 人气: - 评论: 0
问题 画出沉箱重力式码头下列主要施工工序的流程框图。A沉箱预制;B.沉箱出运;C.基槽挖泥;D.施工准备工作;E.基床夯实;F.基床抛石;G.基床整平;H.沉箱安放;I.沉箱内回填料;J,沉箱封顶混凝土施工;K.棱体及倒滤层抛填;L.码头后方回填;M .上部结构施工。
选项
答案
解析 如下图所示。

猜你喜欢

发表评论
更多 网友评论0 条评论)
暂无评论

访问排行

Copyright © 2012-2014 恰考网 Inc. 保留所有权利。 Powered by tikuer.com

页面耗时0.0698秒, 内存占用1.03 MB, Cache:redis,访问数据库20次