某耙吸挖泥船用5000m3舱容挖抛施工,测得满舱时泥与海水载重为7500t,该地区疏浚土密度为1. 85t/m3 。(海水密度取1. 025)问题: ...

作者: rantiku 人气: - 评论: 0
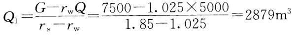
问题 某耙吸挖泥船用5000m3舱容挖抛施工,测得满舱时泥与海水载重为7500t,该地区疏浚土密度为1. 85t/m3 。(海水密度取1. 025) 问题: (1)计算该船的泥舱装载土方量。 (2)简述影响挖泥船时间利用率的客观影响因素。
选项
答案
解析 (1)根据泥舱装载土方量计算公式求得装舱量为: (2)影响挖泥船时间利用率应考虑下列主要客观因素: 1)强风及其风向情况,风的影响主要限于高速风引起的水面状况造成操作上的匿难。2)当波高超过挖泥船安全作业的波高时,应停止施工作业。3)浓雾,当能见度低,看不清施工导标或对航行安全不利时,应停止施工。4)水流,特别是横流流速较大时,对挖泥船施工会造成影响。5)冰凌,当冰层达到一定厚度值时,挖泥船就不宜施工。6)潮汐,在高潮位时,挖泥船可能因其挖深不够需候潮。而当低潮位时有可能使疏浚设备搁浅也需候潮。7)施工干扰,如避让航行船舶等。

猜你喜欢

发表评论
更多 网友评论0 条评论)
暂无评论

访问排行

Copyright © 2012-2014 恰考网 Inc. 保留所有权利。 Powered by tikuer.com

页面耗时0.0438秒, 内存占用1.03 MB, Cache:redis,访问数据库19次