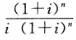
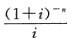
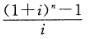
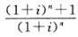
在下列公式中,()是计算年金终值系数的正确公式。A、B、C、D、

作者: rantiku 人气: - 评论: 0
问题 在下列公式中,()是计算年金终值系数的正确公式。
选项 A、 B、 C、 D、
答案 B
解析 本题考核的知识点是年金终值系数的计算。

猜你喜欢

发表评论
更多 网友评论0 条评论)
暂无评论

访问排行

Copyright © 2012-2014 恰考网 Inc. 保留所有权利。 Powered by tikuer.com

页面耗时0.0404秒, 内存占用1.03 MB, Cache:redis,访问数据库20次