某技术方案,年设计生产能力为8万台,年固定成本为10万元,单位产品售价为50元,单位产品变动成本为售价的55%,单位产品销售税金及附加为售价的5%,则达到...

作者: rantiku 人气: - 评论: 0
问题 某技术方案,年设计生产能力为8万台,年固定成本为10万元,单位产品售价为50元,单位产品变动成本为售价的55%,单位产品销售税金及附加为售价的5%,则达到盈亏平衡点时的生产能力利用率为( )。
选项 A、62.50% B、55.50% C、60.00% D、41.67%
答案 A
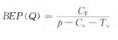
解析 本题考查的是产销量(工程量)盈亏平衡分析的方法。按照教材公式?(1032-5),计算出盈亏平衡点(5万台),设计生产能力为8万台,所以按生产利用率表达的盈亏平衡点为5/8=62.5%。参见教材P37。

猜你喜欢

发表评论
更多 网友评论0 条评论)
暂无评论

访问排行

Copyright © 2012-2014 恰考网 Inc. 保留所有权利。 Powered by tikuer.com

页面耗时0.0326秒, 内存占用1.03 MB, Cache:redis,访问数据库19次