某一航线上的机票价格上升20%,使得该航线上的旅客需求减少40%,那么该航线上的旅客需求的价格弹性为(  )。A.3 B.2 C.1 D.0.5

作者: rantiku 人气: - 评论: 0
问题 某一航线上的机票价格上升20%,使得该航线上的旅客需求减少40%,那么该航线上的旅客需求的价格弹性为(  )。
选项 A.3 B.2 C.1 D.0.5
答案 B
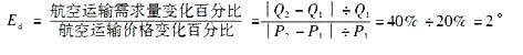
解析 该航线上的旅客需求的价格弹性:

猜你喜欢

发表评论
更多 网友评论0 条评论)
暂无评论

访问排行

Copyright © 2012-2014 恰考网 Inc. 保留所有权利。 Powered by tikuer.com

页面耗时0.0384秒, 内存占用1.03 MB, Cache:redis,访问数据库19次