为完成相同运量而有四个不同的基本建设投资方案,各方案一次性投资和生产费用如表1所示。若基准投资效果系数为0.10。若用I1、I2代表两个方案的投资...

作者: rantiku 人气: - 评论: 0
问题 为完成相同运量而有四个不同的基本建设投资方案,各方案一次性投资和生产费用如表1所示。若基准投资效果系数为0.10。 若用I1、I2代表两个方案的投资额,C1、C2代表两个方案的总经营成本,利用静态差额投资回收期法计算静态差额投资回收期:,此时应满足下列(  )条件。
选项 A.I1>I2 B.I2>I1 C.C1>C2 D.C2>C1
答案 BC
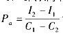
解析 差额投资回收期的计算公式为: 式中,Pa--差额投资回收期; I1,I2--两个比较方案的全部投资额,且I2>I1; C1、C2--两个比较方案的年总经营成本,且C21。

猜你喜欢

发表评论
更多 网友评论0 条评论)
暂无评论

访问排行

Copyright © 2012-2014 恰考网 Inc. 保留所有权利。 Powered by tikuer.com

页面耗时0.0391秒, 内存占用1.03 MB, Cache:redis,访问数据库17次