某工程测得中等风化岩体压缩波波速Vpm=3185m/s,剪切波波速Vs =1603m/s,相应岩块的压缩波波速Vpr=5067m/s,剪切波波速Vs =2...

作者: tihaiku 人气: - 评论: 0
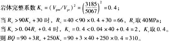
问题 某工程测得中等风化岩体压缩波波速Vpm=3185m/s,剪切波波速Vs =1603m/s,相应岩块的压缩波波速Vpr=5067m/s,剪切波波速Vs =2438m/s;岩石质量密度ρ=2. 64g/cm3, 饱和单轴抗压强度Rc=40MPa。则该岩体基木质量指标BQ为下列何项数值?( ) A. 255 B. 310 C. 491 D. 714
选项
答案 B
解析 根据《工程岩体分级标准》(GB 50218—1994)第4. 2. 2条, 岩体基本质量指标BQ= 90 + 3Rc+ 250Kv。

相关内容:工程,风化,岩体,波速,剪切,岩块

猜你喜欢

发表评论
更多 网友评论0 条评论)
暂无评论

访问排行

Copyright © 2012-2014 恰考网 Inc. 保留所有权利。 Powered by tikuer.com

页面耗时0.0421秒, 内存占用1.03 MB, Cache:redis,访问数据库15次