某扩底灌注桩,要求单桩极限承载力达Quk=30000kN,桩身直径d=1.4m,桩的总极限侧阻力经尺寸效应修正后Qsk=12000kN,桩端持力层为密实砂...

作者: tihaiku 人气: - 评论: 0
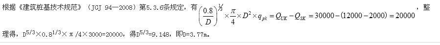
问题 某扩底灌注桩,要求单桩极限承载力达Quk=30000kN,桩身直径d=1.4m,桩的总极限侧阻力经尺寸效应修正后Qsk=12000kN,桩端持力层为密实砂土,极限端阻力qsk=3000kPa,由于扩底导致总极限侧阻力损失△Qsk=2000kN,为了达到要求的单极限承载力,扩底直径为(  )m。[端阻尺寸效应系数
选项 A.2.55 B.3.00 C.3.52 D.3.77
答案 D
解析

相关内容:某扩,灌注桩,要求,单桩,极限,力达,30000kN,桩身,直径,阻力,尺寸,效应,12000kN,桩端

猜你喜欢

发表评论
更多 网友评论0 条评论)
暂无评论

访问排行

Copyright © 2012-2014 恰考网 Inc. 保留所有权利。 Powered by tikuer.com

页面耗时0.0512秒, 内存占用1.05 MB, Cache:redis,访问数据库19次