已知一砂土层中某点应力达到极限平衡时,过该点的最大剪应力平面上的法向应力和剪应力分别为264kPa和132kPa,问关于该点处的大主应力σ1、小主应力σ3...

作者: tihaiku 人气: - 评论: 0
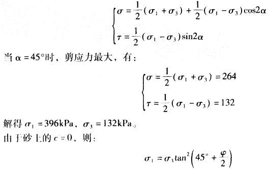
问题 已知一砂土层中某点应力达到极限平衡时,过该点的最大剪应力平面上的法向应力和剪应力分别为264kPa和132kPa,问关于该点处的大主应力σ1、小主应力σ3以及该砂土内摩擦角φ的值,下列哪个选项是正确的?( ) A. σ1 =396kPa, σ3 = 132kPa,φ=28° B. σ1=264kPa, σ3 = 132kPa,φ= 30° C.σ1 =396kPa,σ3 = 132kPa, φ=30° D. σ1=396kPa,σ3=264kPa,φ=28°
选项
答案 C
解析 单元体中,任一截面上的法向应力σ和剪应力τ为:

相关内容:一砂,土层,中某点,应力,极限,过该点,面上,264kPa,132kPa,该点处,大主,小主

猜你喜欢

发表评论
更多 网友评论0 条评论)
暂无评论

访问排行

Copyright © 2012-2014 恰考网 Inc. 保留所有权利。 Powered by tikuer.com

页面耗时0.0466秒, 内存占用1.04 MB, Cache:redis,访问数据库17次