在某建筑地基中存在一细粒土层,该层土的天然含水量为24.0%。经液、塑限联合测定法试验求得:对应圆锥下沉深度2mm、10mm、17mm时的含水量分别为16...

作者: tihaiku 人气: - 评论: 0
问题 在某建筑地基中存在一细粒土层,该层土的天然含水量为24.0%。经液、塑限联合测定法试验求得:对应圆锥下沉深度2mm、10mm、17mm时的含水量分别为16. 0%、 27. 0%、34. 0%。请分析判断,根据《岩土工程勘察规范》(GB 50021 —2001) (2009年版)对本层土的定名和状态描述,下列哪一选项是正确的?( ) A.粉土,湿 B.粉质黏土、可塑 C.粉质黏土、软塑 D.黏土、可塑
选项
答案 B
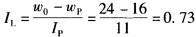
解析 根据《岩土工程勘察规范》(GB 50021-2001)(2009年版)第3. 3. 5条,塑性指数应由圆锥下沉深度为10mm时测定的液限计算,即塑性指数:Ip=wL-wp=27-16 = 11,该层土的塑性指数大于10且小于17,可定名为粉质黏土; 液性指数:。查表3. 3. 11可知,该层土的状态为可塑。

相关内容:建筑,地基,细粒,土层,该层,天然,含水量,经液,塑限,试验,圆锥,深度

猜你喜欢

发表评论
更多 网友评论0 条评论)
暂无评论

访问排行

Copyright © 2012-2014 恰考网 Inc. 保留所有权利。 Powered by tikuer.com

页面耗时0.0431秒, 内存占用1.05 MB, Cache:redis,访问数据库19次