某土样固结试验成果如表1-11所示。试样天然孔隙比e0=0. 656,该试样在压力100 ~ 200kPa的压缩系数及压缩模量为( )。 A. a1...

作者: tihaiku 人气: - 评论: 0
问题 某土样固结试验成果如表1-11所示。试样天然孔隙比e0=0. 656,该试样在压力100 ~ 200kPa的压缩系数及压缩模量为( )。 A. a1-2 =0. 15MPa-1; Es1-2=11MPa B. a1-2=0. 25MPa-1; Es1-2 =6.6MPa C. a1-2 =0. 45MPa-1; Es1-2=3.7MPa D. a1-2 =0. 55MPa-1;Es1-2 =3.0MPa
选项
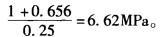
答案 B
解析

相关内容:某土样,试验,成果,1-11所示,试样,天然,孔隙,压力,200kPa,系数,模量

猜你喜欢

发表评论
更多 网友评论0 条评论)
暂无评论

访问排行

Copyright © 2012-2014 恰考网 Inc. 保留所有权利。 Powered by tikuer.com

页面耗时0.0407秒, 内存占用1.05 MB, Cache:redis,访问数据库19次