某干燥土样密度为1.55g/cm3,土粒相对密度为2.65,若使该土样饱水后,则土样的含水量、饱和密度、有效密度分别为( )。 A. 22.4%;1.9...

作者: tihaiku 人气: - 评论: 0
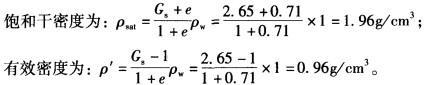
问题 某干燥土样密度为1.55g/cm3,土粒相对密度为2.65,若使该土样饱水后,则土样的含水量、饱和密度、有效密度分别为( )。 A. 22.4%;1.99g/cm3; 1.05g/cm3 B. 24.4%; 20. 09g/cm3 ; 1.25g/cm3 C. 26.8%; 1. 96g/cm3 ; 0. 96 g/cm3 D. 28. 4% ; 1. 89g/cm3 ; 1. 23g/cm3
选项
答案 C
解析

相关内容:土样,密度,土粒,饱水,含水量,饱和,1.9...

猜你喜欢

发表评论
更多 网友评论0 条评论)
暂无评论

访问排行

Copyright © 2012-2014 恰考网 Inc. 保留所有权利。 Powered by tikuer.com

页面耗时0.0426秒, 内存占用1.05 MB, Cache:redis,访问数据库18次