已知重型动力触探圆锥探头及杆件系统的质量为38.9kg,锥底面积为43cm2,落锤质量为63. 5kg,落距76cm,重力加速度为9. 81m/s2,锤击...

作者: tihaiku 人气: - 评论: 0
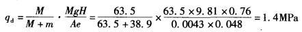
问题 已知重型动力触探圆锥探头及杆件系统的质量为38.9kg,锥底面积为43cm2,落锤质量为63. 5kg,落距76cm,重力加速度为9. 81m/s2,锤击的贯入深度为4. 8cm,据《岩土工程勘察规范》(GB 50021-2001 ) (2009年版),该点的动贯入阻力值应为 ( )MPa。 A. 1.4 B. 7. 1 C. 71 D. 711
选项
答案 A
解析 根据《岩土工程勘察规范》(GB 50021—2001) (2009年版)条文说明第10.4. 1 条,有:

相关内容:动力,触探,圆锥,探头,杆件,系统,质量,38.9kg,锥底,面积,落距,重力加速度,锤击

猜你喜欢

发表评论
更多 网友评论0 条评论)
暂无评论

访问排行

Copyright © 2012-2014 恰考网 Inc. 保留所有权利。 Powered by tikuer.com

页面耗时0.0701秒, 内存占用1.05 MB, Cache:redis,访问数据库19次