建筑物长度50m,宽度10m,比较筏板基础和1.5m的条形基础两种方案。已分别求得筏板基础和条形基础中轴线上变形计算深度范围内(为简化计算,假定两种基础的...

作者: tihaiku 人气: - 评论: 0
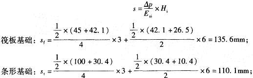
问题 建筑物长度50m,宽度10m,比较筏板基础和1.5m的条形基础两种方案。已分别求得筏板基础和条形基础中轴线上变形计算深度范围内(为简化计算,假定两种基础的变形计算深度相同)的附加应力随深度分布的曲线(近似为折线)如图3-11所示。已知持力层的压缩模量Es=4MPa,下卧层的压缩模量Es=2MPa。估算由于这两层土的压缩变形引起的筏板基础沉降sf与条形基础沉降st之比最接近于下列哪个选项?( ) A. 1.23 B. 1.44 C. 1.65 D. 1.86
选项
答案 A
解析 根据《建筑地基基础设计规范》(GB 50007-2002)第5. 3. 5条,

相关内容:建筑物,长度,宽度,筏板,基础,条形,方案,中轴,深度,假定

猜你喜欢

发表评论
更多 网友评论0 条评论)
暂无评论

访问排行

Copyright © 2012-2014 恰考网 Inc. 保留所有权利。 Powered by tikuer.com

页面耗时0.0441秒, 内存占用1.05 MB, Cache:redis,访问数据库20次