条形基础宽度3m,基础埋深2.0m,基础底面作用有偏心荷载,偏心距0.6m。已知深宽修正后的地基承载力特征值为200kPa,作用至基础底面的最大允许总竖向...

作者: tihaiku 人气: - 评论: 0
问题 条形基础宽度3m,基础埋深2.0m,基础底面作用有偏心荷载,偏心距0.6m。已知深宽修正后的地基承载力特征值为200kPa,作用至基础底面的最大允许总竖向压力最接近下列哪个选项?( ) A. 200kN/m B. 270kN/m C. 324kN/m D. 600kN/m
选项
答案 C
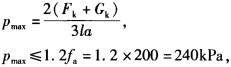
解析 根据《建筑地基基础设计规范》(GB 50007—2002)第5. 2. 1条和5. 2. 2条, e =0. 6m>b/6 = 3/6 =0. 5m,

相关内容:条形,基础,宽度,埋深,底面,作用,荷载,深宽,地基,承载力,特征值,200kPa

猜你喜欢

发表评论
更多 网友评论0 条评论)
暂无评论

访问排行

Copyright © 2012-2014 恰考网 Inc. 保留所有权利。 Powered by tikuer.com

页面耗时0.0413秒, 内存占用1.05 MB, Cache:redis,访问数据库19次