如图3-13所示,某砖混住宅条形基础,地层为黏粒含量小于10%的均质粉土,重度19kN/m3,施工前用深层载荷试验实测基底标高处的地基承载力特征值为350...

作者: tihaiku 人气: - 评论: 0
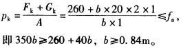
问题 如图3-13所示,某砖混住宅条形基础,地层为黏粒含量小于10%的均质粉土,重度19kN/m3,施工前用深层载荷试验实测基底标高处的地基承载力特征值为350kPa。已知上部结构传至基础顶面荷载效应标准组合的竖向力为260kN/m,基础和台阶上土平均重度为20kN/m3,按现行《建筑地基基础设计规范》要求,基础宽度的设计结果接近下列哪个选项?( ) A. 0.84m B. 1.04m C. 1.33m D. 2.17m
选项
答案 A
解析 地基土的深层载荷试验,当紧靠承压板周围外侧的土层高不少于0.8m时,其地基承载力不能进行深度修正,fa=350kPa。 根据《建筑地基基础设计规范》(GB 50007—2002)第5. 2. 2条,

相关内容:如图,3-13所示,某砖,住宅,条形,基础,地层,黏粒,含量,粉土,施工,前用,深层,载荷,试验,实测,基底,高处,地基,承载力,特征值,350...

猜你喜欢

发表评论
更多 网友评论0 条评论)
暂无评论

访问排行

Copyright © 2012-2014 恰考网 Inc. 保留所有权利。 Powered by tikuer.com

页面耗时0.0459秒, 内存占用1.05 MB, Cache:redis,访问数据库19次