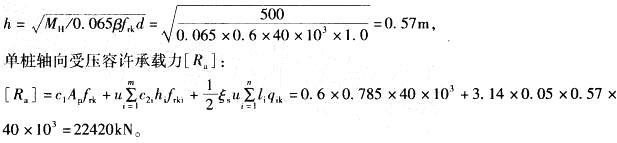
某公路桥梁嵌岩钻孔灌注桩基础,清孔良好,岩石较完整,河床岩层有冲刷,桩径D= 1000mm,在基岩顶面处,桩承受的弯距MH=500kN·m,基岩的天然湿度...

作者: tihaiku 人气: - 评论: 0
问题 某公路桥梁嵌岩钻孔灌注桩基础,清孔良好,岩石较完整,河床岩层有冲刷,桩径D= 1000mm,在基岩顶面处,桩承受的弯距MH=500kN·m,基岩的天然湿度单轴极限抗压强度frk=40MPa。按《公路桥涵地基与基础设计规范》(JTG D63—2007)计算,单桩轴向受压容许承载力[Ra]与下列哪个选项的数值最为接近?(取β=0.6,系数C1,C2不需考虑降低采用)( ) A. 12350kN B. 16350kN C. 19350kN D. 22350kN
选项
答案 D
解析 根据《公路桥涵地基与基础设计规范》(JTG D63-2007),第5. 3. 5条和第5. 3. 4 条,河床岩层有冲刷时,桩基须嵌入基岩,嵌入基岩深度:

相关内容:公路桥梁,嵌岩,钻孔,灌注,桩基础,清孔,岩石,河床,岩层,桩径,1000mm,基岩,顶面处,承受,弯距,天然,湿度

猜你喜欢

发表评论
更多 网友评论0 条评论)
暂无评论

访问排行

Copyright © 2012-2014 恰考网 Inc. 保留所有权利。 Powered by tikuer.com

页面耗时0.0589秒, 内存占用1.05 MB, Cache:redis,访问数据库19次