条形基础宽度为3.0m,由上部结构传至基础底面的最大边缘压力为80kPa,最小边缘压力为0,基础埋置深度为2.0m,基础及台阶上土自重的平均重度为20kN...

作者: tihaiku 人气: - 评论: 0
问题 条形基础宽度为3.0m,由上部结构传至基础底面的最大边缘压力为80kPa,最小边缘压力为0,基础埋置深度为2.0m,基础及台阶上土自重的平均重度为20kN/m3,指出下列论述中错误的是( )。 A.计算基础结构内力时,基础底面压力的分布符合小偏心(e≤b/6)的规定 B.按地基承载力验算基础底面尺寸时基础底面压力分布的偏心巳经超过了现行《建筑地基基础设计规范》(GB 50007—2002)中根据土的抗剪强度指标确定地基承载力特征值的规定 C.作用于基础底面上的合力为240kN/m D.考虑偏心荷载时,地基承载力特征值应不小于120kPa才能满足设计要求
选项
答案 D
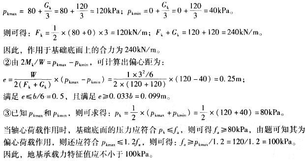
解析 根据《建筑地基基础设计规范》(GB 50007—2002)第5. 2. 1 ~ 5. 2. 5条计算如下:①由题可知,Gk= bldyd = 3×1×2×20= 120kN/m,则有:

相关内容:条形,基础,宽度,结构,边缘,压力,深度,台阶,土自,20kN...

猜你喜欢

发表评论
更多 网友评论0 条评论)
暂无评论

访问排行

Copyright © 2012-2014 恰考网 Inc. 保留所有权利。 Powered by tikuer.com

页面耗时0.0384秒, 内存占用1.05 MB, Cache:redis,访问数据库20次