某港口建于水下的重力式码头为条形基础,基底有抛石基床,其厚度d1=2.0m,抛石基床底面处的有效受压宽度B′e = 12m,合力倾斜率为tanδ′=0. ...

作者: tihaiku 人气: - 评论: 0
问题 某港口建于水下的重力式码头为条形基础,基底有抛石基床,其厚度d1=2.0m,抛石基床底面处的有效受压宽度B′e = 12m,合力倾斜率为tanδ′=0. 203(δ′=11.5°),抛石基床底面下受力层范围内土的抗剪强度指标标准值φk1 =24°, ck =15kPa,天然重度标准值yk = 18. 5kN/m3,抛石基床范围内土的天然重度标准值yk1=19kN/m3,作用于抛石基床上竖向合力设计值V′d= 1760kN,此时抗力分项系数yR最接近于( )。(承载力系数Nr=3.3,Nq =6) A. 2.75 B. 2.85 C. 2.95 D. 3.03
选项
答案 B
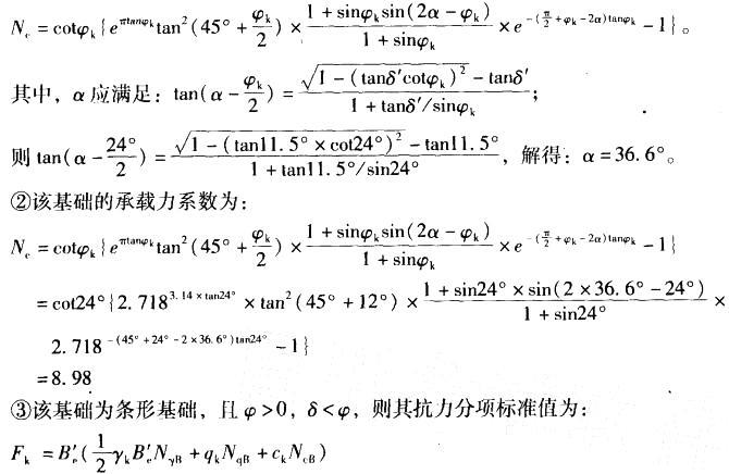
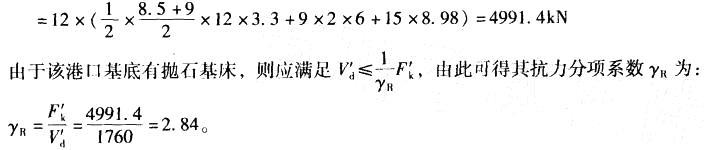
解析 根据《港口工程地基规范》(JTJ 250—1998)第4. 2. 2条、第4. 2. 5~4. 2.6条,具体步骤如下: ①承载力系数计算公式为:

相关内容:港口,重力,码头,条形,基础,基底,石基,厚度,底面,宽度,合力,斜率

猜你喜欢

发表评论
更多 网友评论0 条评论)
暂无评论

访问排行

Copyright © 2012-2014 恰考网 Inc. 保留所有权利。 Powered by tikuer.com

页面耗时0.0462秒, 内存占用1.04 MB, Cache:redis,访问数据库18次