某矩形基础底面尺寸2.4m×1. 6m,埋深d = 2.0m,所受荷载设计值M =100kN·m,F = 450kN,其他条件如图3 -25所示,则基底最...

作者: tihaiku 人气: - 评论: 0
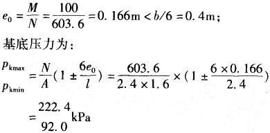
问题 某矩形基础底面尺寸2.4m×1. 6m,埋深d = 2.0m,所受荷载设计值M =100kN·m,F = 450kN,其他条件如图3 -25所示,则基底最大、最小附加应力分别为( )kPa。 A. 129. 42; 32. 15 B. 222.4; 92 C. 186.0; 55.6 D. 188.4; 58
选项
答案 C
解析 基础及其上覆土重为: G =yGAd=20×2. ×1.6×2. 0 = 153. 6kN; 竖向荷载的合力为:N= F + G =450 + 153. 6 = 603. 6kN; 偏心距为: 基底自重应力为:pc=17×0.8+19×1.2=36.4kPa; 基底最大附加应力为:p0max =pmax -pc =222. 4 -36. 4 = 186. 0kPa; 基底最小附加应力为:p0min = pmin -pc =92 -36. 4 =55. 6kPa。

相关内容:矩形,基础,底面,尺寸,埋深,荷载,设计,条件,如图,-25所示,基底

猜你喜欢

发表评论
更多 网友评论0 条评论)
暂无评论

访问排行

Copyright © 2012-2014 恰考网 Inc. 保留所有权利。 Powered by tikuer.com

页面耗时0.0368秒, 内存占用1.04 MB, Cache:redis,访问数据库18次