某多层厂房柱子柱脚尺寸800mm×1000mm,采用无筋扩展基础按荷载效应的标准组合计算,传至±0.0处的竖向力为Fk =600kN,力矩Mk =160k...

作者: tihaiku 人气: - 评论: 0
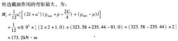
问题 某多层厂房柱子柱脚尺寸800mm×1000mm,采用无筋扩展基础按荷载效应的标准组合计算,传至±0.0处的竖向力为Fk =600kN,力矩Mk =160kN·m,水平力Hk=35kN。 基底面积为2m×2. 6m,设计基础埋深1. 5m。基础材料采用C15混凝土。 (2)基础弯矩最大截面的弯矩设计值最接近( )kN ? m。 A. 100 B. 140 C. 170 D. 190
选项
答案 C
解析 根据题意计算如下:基底应力分布:

相关内容:多层,厂房,柱子,柱脚,尺寸,1000mm,无筋,基础,荷载,效应,标准,组合,传至,0.0处,力矩,160k...

猜你喜欢

发表评论
更多 网友评论0 条评论)
暂无评论

访问排行

Copyright © 2012-2014 恰考网 Inc. 保留所有权利。 Powered by tikuer.com

页面耗时0.0314秒, 内存占用1.04 MB, Cache:redis,访问数据库14次