桩顶为自由端的钢管桩,桩径d=0.6m,桩入土深度h=10m,地基土水平抗力系数的比例系数m =10MN/m4,桩身抗弯刚度EI= 1. 7×105 kN...

作者: tihaiku 人气: - 评论: 0
问题 桩顶为自由端的钢管桩,桩径d=0.6m,桩入土深度h=10m,地基土水平抗力系数的比例系数m =10MN/m4,桩身抗弯刚度EI= 1. 7×105 kN·m2,桩水平变形系数α= 0. 59m-1,桩顶容许水平位移χ0a= 10mm,按《建筑桩基技术规范》(JGJ 94—2008)计算, 单桩水平承载力特征值最接近( )kN。 A. 75 B. 107 C. 143 D. 175
选项
答案 B
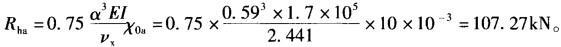
解析 根据《建筑桩基技术规范》(JGJ 94-2008)第5.7. 2条计算如下: ①桩的换算埋深αh为:αh=59×10=5.9≥4.0; 查表5. 7. 2得桩顶自由时,桩顶水平位移系数为:vx=2.441; ②根据式(5. 7. 2 -2)计算单桩水平承载力特征值Rha为:

相关内容:桩顶,管桩,桩径,入土,深度,地基,水平,抗力,系数,比例,桩身,抗弯,刚度

猜你喜欢

发表评论
更多 网友评论0 条评论)
暂无评论

访问排行

Copyright © 2012-2014 恰考网 Inc. 保留所有权利。 Powered by tikuer.com

页面耗时0.0359秒, 内存占用1.04 MB, Cache:redis,访问数据库18次