某群桩基础的平面剖面如图4-23所示,已知作用于桩端平面处长期效应组合的附加压力为300kPa,沉降计算经验系数ψ= 0.7,其他系数见表4-4,按《建筑...

作者: tihaiku 人气: - 评论: 0
问题 某群桩基础的平面剖面如图4-23所示,已知作用于桩端平面处长期效应组合的附加压力为300kPa,沉降计算经验系数ψ= 0.7,其他系数见表4-4,按《建筑桩基技术规范》 (JGJ 94—2008)估算群桩基础的沉降量,其值最接近( )cm。 A. 2.5 B. 3.0 C. 3.5 D. 4.0
选项
答案 B
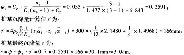
解析 根据《建筑粧基技术规范》(JGJ 94—2008)第5. 5. 6条计算如下: ①距径比为:sa/d= 1600/400 =4<6; ②长径比为:l/d= 12000/400 = 30 ; ③长宽比为:Lc/Bc=4/4 = 1; 查附录 H 得:C0 =0. 055; C1=1.477; C2 =6.843; 则桩基等效沉降系数为:

相关内容:某群,桩基础,平面,剖面,如图,4-23所示,桩端,效应,组合,附加,压力,300kPa,沉降,经验,系数,建筑

猜你喜欢

发表评论
更多 网友评论0 条评论)
暂无评论

访问排行

Copyright © 2012-2014 恰考网 Inc. 保留所有权利。 Powered by tikuer.com

页面耗时0.0391秒, 内存占用1.04 MB, Cache:redis,访问数据库18次