某场地地表以下2 ~ 10m为粉土层,桩的极限侧阻力标准值qs1k =60kPa;10 ~ 20m为黏性土,qs2k=50kPa; 20~40m 为中砂,...

作者: tihaiku 人气: - 评论: 0
问题 某场地地表以下2 ~ 10m为粉土层,桩的极限侧阻力标准值qs1k =60kPa;10 ~ 20m为黏性土,qs2k=50kPa; 20~40m 为中砂,qs3k =70kPa,极限端阻力qpk =6000kPa。承台底在地表下2m,采用直径900mm的沉管灌注桩,桩端入土23m,根据《建筑桩基技术规范》(JGJ 94一2008)计算单桩竖向极限承载力标准值Quk,其结果最接近下列哪一个数值?( ) A. 6942. 4kN B. 7029. 4kN C. 7154. 9kN D. 7239. 5kN
选项
答案 A
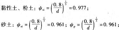
解析 根据《建筑桩基技术规范》(JGJ 94—2008)第5. 3. 6条,根据土的物理指标与承载力参数之间的经验关系,确定大直径桩(d≥800mm)单桩竖向承载力标准值时,可按下式计算:Quk=Qsk+Qpk=u∑ψsiqsiklsi+ψpqpkAp。式中,qsik为桩侧第i层土的极限侧阻力标准值;qpk为桩径为800mm的的极限端阻力标准值,可采用深层载荷板试验确定;u为桩身周长。查表可知,桩侧阻、端阻尺寸效应系数为: 将各数据代入公式可得单粧竖向极限承载力标准值为: Quk =3. 14×0.9×(0.977×60×8 +0.977×50×10 +0.961×70×3) +0.961×3. 14×0. 92×6000/4 = 6942. 4kN。

猜你喜欢

发表评论
更多 网友评论0 条评论)
暂无评论

访问排行

Copyright © 2012-2014 恰考网 Inc. 保留所有权利。 Powered by tikuer.com

页面耗时0.0282秒, 内存占用1.03 MB, Cache:redis,访问数据库17次