为确定水泥土搅拌桩复合地基承载力,进行多桩复合地基静载实验,桩径500mm,正三角形布置,桩中心距1.20m,试问进行三桩复合地基载荷试验的圆形承压板直径...

作者: tihaiku 人气: - 评论: 0
问题 为确定水泥土搅拌桩复合地基承载力,进行多桩复合地基静载实验,桩径500mm,正三角形布置,桩中心距1.20m,试问进行三桩复合地基载荷试验的圆形承压板直径。应取下列何项数值?( ) A. 2. 00m B. 2. 20m C. 2. 40m D. 2. 65m
选项
答案 B
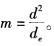
解析 根据《建筑地基处理技术规范》(JGJ 79—2002)第A. 0. 2条,承压板的面积应等于实际桩数所承担的处理面积。 面积置换率

相关内容:泥土,地基,承载力,多桩,静载,实验,桩径,正三角形,中心,三桩,载荷,试验,圆形,压板,直径

猜你喜欢

发表评论
更多 网友评论0 条评论)
暂无评论

访问排行

Copyright © 2012-2014 恰考网 Inc. 保留所有权利。 Powered by tikuer.com

页面耗时0.0322秒, 内存占用1.04 MB, Cache:redis,访问数据库19次