某场地地层如图5-3所示。拟采用水泥搅拌桩进行加固。已知基础埋深为2.0m,搅拌桩桩径600mm,桩长14.0m,桩身强度fcu =0. 8MPa,桩身强...

作者: tihaiku 人气: - 评论: 0
问题 某场地地层如图5-3所示。拟采用水泥搅拌桩进行加固。已知基础埋深为2.0m,搅拌桩桩径600mm,桩长14.0m,桩身强度fcu =0. 8MPa,桩身强度折减系数取η= 0. 3, 桩间土承载力折减系数β= 0.6,桩端土承载力折减系数α= 0.4,搅拌桩中心距为1.0m,等边三角形布置。试问搅拌桩复合地基承载力特征值取下列哪个选项的数值合适?( ) A. 80kPa B. 90kPa C.100kPa D. 110kPa
选项
答案 C
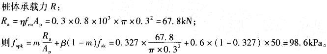
解析

相关内容:场地,地层,如图,5-3所示,水泥,加固,基础,桩桩,桩长,桩身,强度

猜你喜欢

发表评论
更多 网友评论0 条评论)
暂无评论

访问排行

Copyright © 2012-2014 恰考网 Inc. 保留所有权利。 Powered by tikuer.com

页面耗时0.0332秒, 内存占用1.04 MB, Cache:redis,访问数据库18次