某建筑基础采用独立桩基,桩基尺寸为6m×6m,埋深1.5m,基础顶面的轴心荷载 Fk=6000kN,基础和基础上土重Gk =1200kN,场地地层为粉质黏...

作者: tihaiku 人气: - 评论: 0
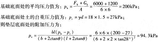
问题 某建筑基础采用独立桩基,桩基尺寸为6m×6m,埋深1.5m,基础顶面的轴心荷载 Fk=6000kN,基础和基础上土重Gk =1200kN,场地地层为粉质黏土,fak = 120kPa,y=18kN/m3,由于承载力不能满足要求,拟采用灰土换填垫层处理,当垫层厚度为2.0m时,采用《建筑地基处理技术规范》(JGJ 79—2002)计算,垫层底面处的附加压力最接近( )kPa。 A. 27 B. 63 C. 78 D. 94
选项
答案 D
解析 根据《建筑地基处理技术规范》(JGJ 79—2002)第4. 2. 1条,

猜你喜欢

发表评论
更多 网友评论0 条评论)
暂无评论

访问排行

Copyright © 2012-2014 恰考网 Inc. 保留所有权利。 Powered by tikuer.com

页面耗时0.0375秒, 内存占用1.03 MB, Cache:redis,访问数据库20次