某建筑场地为松砂,天然地基承载力特征值为100kPa,孔隙比为0.78,要求采用振冲法处理后孔隙比为0. 68,初步设计考虑采用桩径为0. 5m,.桩体承...

作者: tihaiku 人气: - 评论: 0
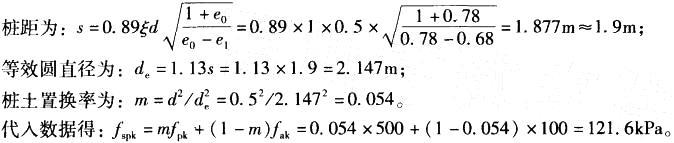
问题 某建筑场地为松砂,天然地基承载力特征值为100kPa,孔隙比为0.78,要求采用振冲法处理后孔隙比为0. 68,初步设计考虑采用桩径为0. 5m,.桩体承载力特征值为500kPa 的砂石桩处理,按正方形布桩,不考虑振动下沉密实作用,据此估计初步设计的桩距和此方案处理后的复合地基承载力特征值最接近( )。 A. 1.6m; 140kPa B. 1.9m; 140kPa C. 1.9m; 120kPa D. 2.2m; 110kPa
选项
答案 C
解析 根据《建筑地基处理技术规范》(JGJ 79—2002)第7. 2. 8条、第8. 2. 2条和第 8.2. 8 条,

相关内容:建筑,场地,松砂,天然,地基,承载力,特征值,100kPa,孔隙,要求,振冲,设计,桩径,体承

猜你喜欢

发表评论
更多 网友评论0 条评论)
暂无评论

访问排行

Copyright © 2012-2014 恰考网 Inc. 保留所有权利。 Powered by tikuer.com

页面耗时0.0485秒, 内存占用1.05 MB, Cache:redis,访问数据库20次