某水泥搅拌桩复合地基桩长12m,面积置换率m=0.21,复合土层顶面的附加压力pz =114kPa,底面附加压力pz1=40kPa,桩间土的压缩模量Es=...

作者: tihaiku 人气: - 评论: 0
问题 某水泥搅拌桩复合地基桩长12m,面积置换率m=0.21,复合土层顶面的附加压力pz =114kPa,底面附加压力pz1=40kPa,桩间土的压缩模量Es=2. 25MPa,搅拌桩的压缩模量Ep=168MPa,桩端下土层压缩量为12.2cm,根据《建筑地基处理技术规范》(JGJ 79—2002)计算,该复合地基总沉降量最接近( )cm。 A. 13. 5 B. 14.5 C. 15.5 D. 16.5
选项
答案 B
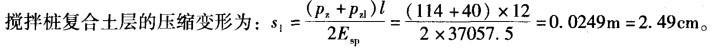
解析 根据《建筑地基处理技术规范》(JGJ 79-2002)第11. 2. 9条, 搅拌桩复合土层的压缩模量为: Esp = mEp + (1 -m)Es =0.21×168×103 + (1-0.21)×2. 25×103 =37057. 5kPa。 则总沉降量为:s=s1+s2 =2.49 + 12.2 = 14. 69cm。

相关内容:水泥,地基,桩长,面积,置换率,土层,附加,压力,114kPa,底面,桩间,模量

猜你喜欢

发表评论
更多 网友评论0 条评论)
暂无评论

访问排行

Copyright © 2012-2014 恰考网 Inc. 保留所有权利。 Powered by tikuer.com

页面耗时0.0397秒, 内存占用1.05 MB, Cache:redis,访问数据库19次