某地一软弱地基采用换填法处理: I.某一内墙基础传至室内地面处的荷载值Fk=204kN/m,基础埋深d = 1.2m,基础自重和基础上的土重二者折算平均...

作者: tihaiku 人气: - 评论: 0
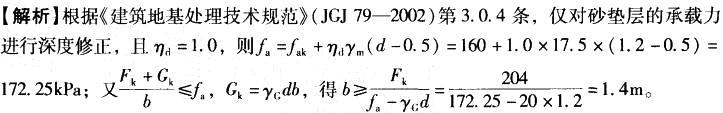
问题 某地一软弱地基采用换填法处理: I.某一内墙基础传至室内地面处的荷载值Fk=204kN/m,基础埋深d = 1.2m,基础自重和基础上的土重二者折算平均重度yG=20kN/m3。 II.换填材料采用中、粗砂,其承载力特征值为fak=160kPa,重度y= 18kN/m3,压缩模量 Es =18MPa。 III.建筑场地是很厚的淤泥质土,其承载力特征值为,fak =70kPa,重度y = 17.5kN/m3,压缩模量Es=1.7MPa。 (1)确定该内墙的最小基础宽度6最接近( )m。 A. 1.6 B. 1. 4 C. 1.2 D. 1.0
选项
答案 B
解析

相关内容:地基,换填,内墙,基础,室内,地面,荷载,埋深,自重,土重

猜你喜欢

发表评论
更多 网友评论0 条评论)
暂无评论

访问排行

Copyright © 2012-2014 恰考网 Inc. 保留所有权利。 Powered by tikuer.com

页面耗时0.0447秒, 内存占用1.05 MB, Cache:redis,访问数据库20次