某市一厂房采用CFG桩复合地基,天然地基承载力特征值为140kPa,桩长17m,混凝土强度等级为C25,桩径0.4m,桩间距1.75m,等边三角形布桩,桩...

作者: tihaiku 人气: - 评论: 0
问题 某市一厂房采用CFG桩复合地基,天然地基承载力特征值为140kPa,桩长17m,混凝土强度等级为C25,桩径0.4m,桩间距1.75m,等边三角形布桩,桩周土平均侧阻力特征值qs=28kPa,桩端阻力特征值qp=700kPa,桩间土承载力折减系数β=0. 8。求复合地基承载力特征值最接近( )kPa。 A. 240 B. 260 C. 280 D. 300
选项
答案 D
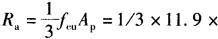
解析 根据《建筑地基基础设计规范》(JGJ 79—2002)第9. 2. 6和9. 2. 7条,①单桩竖向承载力特征值为:Ra=upqsl+qpAp =3.14×0.4×17×28 +3.14×0. 22×700 =686kN(式中,up为桩的周长,Ap为桩的截面积);且应满足 取两者较小值:即Ra=498kN。②面积置换率为:m=d2/d2e=0.42/(1.05×1.75)2 =0.0474。 则复合地基承载力特征值为:

相关内容:厂房,地基,天然,承载力,特征值,140kPa,桩长,混凝土,强度,等级,桩径,间距,等边三角形,布桩

猜你喜欢

发表评论
更多 网友评论0 条评论)
暂无评论

访问排行

Copyright © 2012-2014 恰考网 Inc. 保留所有权利。 Powered by tikuer.com

页面耗时0.0512秒, 内存占用1.05 MB, Cache:redis,访问数据库20次