某建筑采用筏形基础底面尺寸为10m×20m,底面压力为220kPa,基础底面下设300mm褥垫层,基础埋深2.0m,勘察资料如下: I.0~10m,淤泥...

作者: tihaiku 人气: - 评论: 0
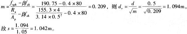
问题 某建筑采用筏形基础底面尺寸为10m×20m,底面压力为220kPa,基础底面下设300mm褥垫层,基础埋深2.0m,勘察资料如下: I.0~10m,淤泥质土,y = 19.5kN/m3, qsk =7kPa, fak =80kPa, Es =8. 8MPa; II.10~20m,砂土,y= 18.5kN/in3, qsk=25kPa,fak =200kPa; III.地下水埋深2.0m。 采用深层搅拌法处理,桩按等边三角形布置,桩径为500mm,桩长9m,水泥掺入比为15% ,桩体平均强度fcu=2.8MPa,桩间土承载力折减系数为0.4,桩端天然地基土承载力折减系数0.5,桩身强度折减系数为0.33,按《建筑地基处理技术规范》(JGJ 79— 2002)计算。 (3)桩间距宜为( )m。 A. 1.042 B. 1.094 C. 1.187 D. 1.263
选项
答案 A
解析 根据《建筑地基处理技术规范》(JGJ 79-2002)第11. 2. 3条,桩间距为:

相关内容:建筑,筏形,基础,底面,尺寸,压力,220kPa,埋深,勘察,资料,如下,淤泥

猜你喜欢

发表评论
更多 网友评论0 条评论)
暂无评论

访问排行

Copyright © 2012-2014 恰考网 Inc. 保留所有权利。 Powered by tikuer.com

页面耗时0.0310秒, 内存占用1.05 MB, Cache:redis,访问数据库19次