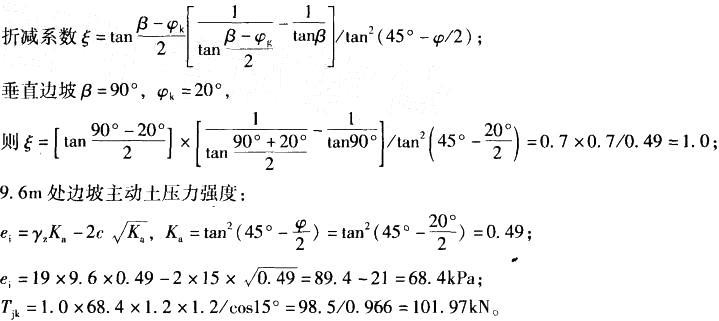
墙面垂直的土钉墙边坡,土钉与水平面夹角为15°,土钉的水平与竖直间距都是1.2m。 墙后地基土的c=15kPa, φ=20°, y=19kN/m3,无地面...

作者: tihaiku 人气: - 评论: 0
问题 墙面垂直的土钉墙边坡,土钉与水平面夹角为15°,土钉的水平与竖直间距都是1.2m。 墙后地基土的c=15kPa, φ=20°, y=19kN/m3,无地面超载。在9. 6m深度处的每根土钉的轴向受拉荷载最接近于下列哪个选项?( ) A. 98kN B. 102kN C. 139kN D. 208kN
选项
答案 B
解析 根据《建筑基坑支护技术规程》(JGJ 120—1999),单根土钉轴间受抗荷载Tjk: Tjk=ξeiSxSy/cosα 式中,ξ——折减系数; ei——第i根土钉处基坑主动土压力; Sx, Sy——土钉横向、竖向间距; α——土钉与水平面的夹角。

相关内容:墙面,土钉,边坡,水平面,夹角,水平,间距,地基,地面

猜你喜欢

发表评论
更多 网友评论0 条评论)
暂无评论

访问排行

Copyright © 2012-2014 恰考网 Inc. 保留所有权利。 Powered by tikuer.com

页面耗时0.0441秒, 内存占用1.05 MB, Cache:redis,访问数据库20次